Birleşik Krallık’taki Keele Üniversitesi’nden gökbilimciler, UZ Draconis olarak bilinen tamamen tutulmalı ikiliyi araştırmak için NASA’nın gezegen avcısı TESS teleskopunu kullandılar. 31 Ekim’de yayınlanan yeni gözlemlerin sonuçları arXiv ön baskı sunucusu, bu sistemin özelliklerine daha fazla kısıtlama getirir.
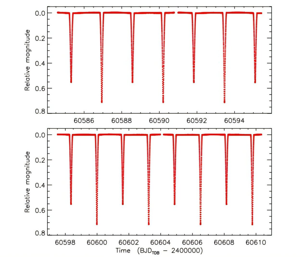
Tutulan ikili dosyalar (EB’ler), görüş hattımız boyunca bir düzlemde birbirinin yörüngesinde dönen iki yıldızdan oluşan sistemlerdir. Bu nedenle, bu sistemlerin ışık eğrilerinde yoğunlukta periyodik düşüşlerle pratik olarak sabit ışık periyotları olarak görülen iki bileşen birbirini tutar ve geçirir.
Ayrılmış örten ikili dosyalar (dEB’ler), yıldız modellerini test eden gökbilimciler için çok önemlidir. Bunun nedeni, her iki yıldızın kütlelerinin ve yarıçaplarının, sistemin ışık ve radyal hız eğrilerinden doğrudan ölçülebilmesidir. dEB’ler arasında tam tutulma yaşayan sistemler özellikle ilgi çekicidir çünkü tutulma sırasındaki temas zamanları yıldızların yarıçaplarının en yüksek hassasiyetle ölçülmesini sağlar.
UZ Draconis, 3,26 günlük bir periyoda sahip dairesel bir yörüngede iki F-tipi yıldızdan oluşan, tamamen tutulma yapan böyle bir dEB’dir. UZ Draconis’in önceki gözlemleri, birincil yıldızın 1,295 güneş yarıçapına ve 1,306 güneş kütlesine sahip bir kütleye sahip olduğunu ortaya çıkarmıştı.
İkincil yıldızın yarıçapı 1.144 güneş yarıçapı olarak ölçülürken kütlesinin 1.203 olduğu tahmin edildi. ESA’nın Gaia uydusundan alınan veriler, sisteme yaklaşık 604,37 ışıkyılı uzaklıkta olduğunu ortaya çıkardı.
Şimdi, Keele Üniversitesi’nden John Southworth liderliğindeki bir gökbilimci ekibi, bu sistemin parametrelerini her zamankinden daha yüksek hassasiyetle belirlemeyi umarak UZ Draconis’i TESS ile yeniden ziyaret etti.
Araştırmacılar şöyle açıklıyor: “Geçiş Yapan Ötegezegen Araştırma Uydusu tarafından 41 sektörde gözlemlendi ve toplam 664.809 yüksek kaliteli akı ölçümü elde edildi. Bu verileri modelliyoruz ve sistemin fiziksel özelliklerini yüksek hassasiyetle belirlemek için radyal hızları yayınlıyoruz.”
Yeni TESS gözlemlerine göre birincil ve ikincil yıldızların kütlelerinin sırasıyla 1.291 ve 1.193 güneş kütlesi olduğu belirlendi. Bu, sistemin kütle oranının yaklaşık 0,92 düzeyinde olmasını sağlar.
UZ Draconis’in iki bileşeninin boyutlarının da önceden tahmin edilenden biraz daha küçük olduğu bulundu. Birincil yıldızın yarıçapı 1.278 güneş yarıçapı olarak ölçülürken, yoldaşının yarıçapı 1.122 güneş yarıçapı olarak hesaplandı.
Ayrıca UZ Draconis’e olan mesafenin 605,4 ışıkyılı olduğu belirlendi ve bu da Gaia ölçümleriyle tutarlıdır. Genel olarak bu sistemin belirlenen özellikleri, yaklaşık 600 milyon yıllık bir yaş ve hafif bir süper-güneş metalikliği önermektedir.
Gökbilimciler, UZ Draconis’in ışık eğrilerinin yörünge periyodundaki yıldız lekesi modülasyonunu gösterdiğini, bunun da yıldızların gelgit açısından senkronize olduğunu gösterdiğini ekledi. Ancak titreşimlere, yörünge eksantrikliğine veya yörünge periyodundaki değişikliklere dair hiçbir kanıt bulamadılar.
Yazarımız Tomasz Nowakowski tarafından sizin için yazılan, Sadie Harley tarafından düzenlenen ve Robert Egan tarafından doğrulukları kontrol edilen ve gözden geçirilen bu makale, insanların dikkatli çalışmasının sonucudur. Bağımsız bilim gazeteciliğini canlı tutmak için sizin gibi okuyuculara güveniyoruz. Bu raporlama sizin için önemliyse lütfen bağış yapmayı düşünün (özellikle aylık). Bir alacaksın reklamsız bir teşekkür olarak hesaplayın.



