Topolojik izolatörler devrim niteliğindeki elektronik bileşenlerin temelini oluşturabilir. Bununla birlikte, genellikle yalnızca çok düşük sıcaklıklarda çalıştıklarından, pratik uygulamaları bugüne kadar ciddi şekilde sınırlandırılmıştır. Würzburg Üniversitesi’ndeki araştırmacılar artık daha yüksek sıcaklıklarda da çalışan bir topolojik yalıtkan geliştirdiler. Sonuçları şu adreste yayınlanıyor: Bilim Gelişmeleri.
Bir topolojik yalıtkan, içi mükemmel bir yalıtkan olan bir malzeme olarak düşünülebilir; orada elektriği iletmez. Ancak kenarlarında neredeyse kayıpsız bir “elektron yolu” gibi davranır. Elektronlar bu yollar boyunca neredeyse hiç kayıp yaşamadan hareket edebilirler.
Analojiyi derinleştirmek için: Bu otoyollar, farklı “dönüşlere” sahip elektronlar için ayrı şeritlere sahiptir – bir tür içsel açısal momentum. “Yukarı dönüşlü” elektronlar bir yönde, “dönmeli” elektronlar ise ters yönde hareket eder. Bu sıkı trafik düzenlemesi çarpışmaları ve dolayısıyla enerji kayıplarını önler. Bunun arkasındaki olgu kuantum spin Hall etkisi (QSHE) olarak biliniyor; bu etki ilk kez Würzburg Üniversitesi’nde deneysel olarak kanıtlandı.
Üç katmanlı bir kuantum kuyusu yapısı
Bu özelliğin ana avantajı, gelecekteki devrim niteliğindeki elektronik bileşenlerin temelini oluşturabilecek elektronların kayıpsız ve spin-polarize taşınması olasılığında yatmaktadır. Bu etki çok büyük bir potansiyele sahip olmasına rağmen, pratik uygulaması bugüne kadar önemli zorluklarla karşı karşıya kalmıştır; bunun temel nedeni, topolojik yalıtkanların genellikle imrenilen özelliklerini yalnızca son derece düşük sıcaklıklarda (-273°C civarındaki mutlak sıfırın hemen üzerinde) sergilemesidir.
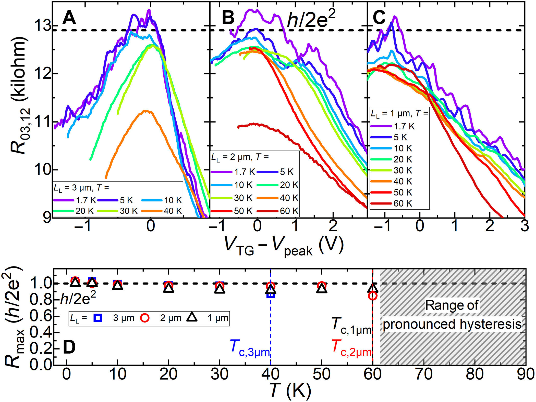
Würzburg Üniversitesi’ndeki bir araştırma ekibi, Montpellier Üniversitesi ve Paris’teki École Normale Supérieure’den bilim adamlarıyla işbirliği içinde, deneylerin gösterdiği gibi, çok daha yüksek sıcaklıklarda (-213°C civarında) bile istenen etkiyi sergileyen bir topolojik yalıtkan geliştirdi. Bu başarının sorumlusu, Teknik Fizik Bölümü Başkanı Profesör Sven Höfling liderliğindeki bir ekipti; Fabian Hartmann ve Manuel Meyer ortak ilk yazarlardır.
Höfling, “Deneylerimiz için yeni bir malzeme sistemi geliştirdik ve test ettik: üç katmandan oluşan özel bir kuantum kuyusu yapısı” diye açıklıyor. İndiyum arsenit (InAs), üç katmanlı yapının iki dış katmanını oluşturur. Galyum (Ga), indiyum (In) ve antimondan (Sb) oluşan bir alaşım olan GaInSb orta tabakayı oluşturur. Fizikçilere göre özel olarak geliştirilen bu üç katmanlı yapı, önceki yaklaşımlara göre belirleyici avantajlar sunuyor.
Teknolojik uygulamalar için umut verici bir aday
Hartmann, “Bugüne kadar kullanılan malzemelerin sorunu genellikle bant aralığı enerjisinin çok düşük olmasıdır” diyor. Bant aralığı, malzemenin içini iletken hale getirmek için elektronların aşması gereken bir tür “enerji bariyeri” olarak düşünülebilir. Bu nedenle daha büyük bir bant aralığı, iç kısmın daha yüksek sıcaklıklarda bile iletken hale gelmesini ve kayıpsız kenar kanallarını bozmasını önleyen daha sağlam bir bariyer anlamına gelir.
Aslında GaInSb alaşımının kullanılması malzemenin bant aralığı enerjisini arttırır. Aynı zamanda üçüncü bir InAs katmanının eklenmesi, bant aralığı enerjisinin boyutunu ve sağlamlığını önemli ölçüde artıran simetrik bir yapı oluşturur.
Meyer, “Sistemimiz teknolojik uygulamalar için umut verici bir aday çünkü üç temel avantajı birleştiriyor” diyor. Öncelikle çok miktarda ve büyük ölçeklerde üretilebilmektedir. İkincisi, sonuçlar güvenilir ve tekrarlanabilirdir. Üçüncüsü ise malzemenin mevcut silikon çip teknolojisiyle uyumlu olması.
Özetle fizikçiler, bu sonuçların topolojik elektroniğin gelişiminin önünü açtığına inanıyor. Bu aynı zamanda daha düşük sıcaklıklarda da çalışabilir ve yerleşik yarı iletken teknolojisine sorunsuz bir şekilde entegre edilebilir ve yeni nesil enerji tasarruflu ve güçlü cihazlara kapı açabilir.



