Samanyolu galaksimizde, Constellation Vulpecula yönünde, PSR B1937+21 adlı kozmik bir “deniz feneri”, saniyede 642 devir şaşırtıcı bir oranda. Atomik saatlerin hassasiyetine rakip olan elektromanyetik darbeler yayar.
Bir Çinli araştırma ekibi ilk kez PSR B1937+21’in ana nabzının ve interpulse’nin frekansa göre değiştikçe tam polarizasyon modelini yakaladı. Keşif, bildirilen Astrofizik Dergisiaşırı fiziksel koşullar altında çalışan radyasyon mekanizmaları için önemli kanıtlar sağlar.
Avustralya’da Murriyang (Parkes) 64 metrelik radyo teleskopunu kullanarak ultra çapında bir alıcı olan Ph.D. Çin Bilimler Akademisi’nin (CAS) Sincan Astronomi Gözlemevi’nden (XAO) öğrenci Wang Zhen, amirleri Prof. Yuan Jianping ve Prof. Wen Zhigang’ın rehberliğinde üç yıllık sürekli gözlemleri gerçekleştirdi.
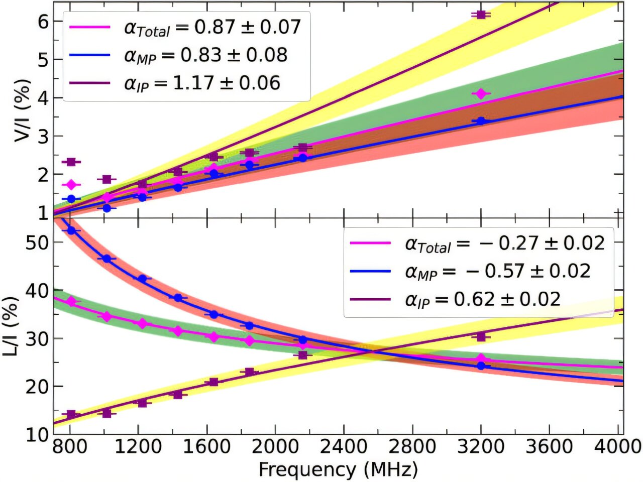
Araştırmacılar PSR B1937+21’in radyasyon sırlarını açıkladılar: frekans arttıkça ana nabızın doğrusal polarizasyon derecesi azalırken, interpulse tam tersi eğilimi gösterir; Her iki emisyon bölgesinin dairesel polarizasyon derecesi yükselen frekansla güçlenir; ve ana-interpulse yoğunluk oranı, 0.52 ± 0.02 endeksi olan bir güç yasası spektrumunu takip eder.
1982 yılında ilk milisaniye pulsarlardan biri olarak keşfedilen PSR B1937+21, 1.558 milisaniyelik bir ultra kısa rotasyon süresine sahiptir. Manyetik alan gücü, sıradan pulsarların sadece bir binde bir tanesidir, bu da refakatçi bir yıldızdan birikme yoluyla olası spin-up önermektedir.
Araştırmacılar, 704-4032 MHz’i kapsayan ultra geniş bant alma sistemi kullandılar ve çok yıllı verileri entegre ederek sinyal-gürültü oranını 20 kat artırdılar. Ayrıca, aradan geçen yıldızlararası ortamın özelliklerini çıkarmak için akı yoğunluk ölçümleri, dağılım ölçüsü (DM) analizi ve faraday rotasyon ölçümleri kullanıldı.
Sonuçlar, frekans arttıkça emisyon yüksekliğinin azaldığını doğruladı, bu da daralma darbe genişliği olarak ortaya çıktı. Sonuçlar ayrıca ana darbenin ve interpulse’nin muhtemelen manyetosfer içindeki farklı bölgelerden kaynaklandığını göstermektedir. Bu bulgular “göreceli ışınlama modeli” için gözlemsel destek sağlar.
Bu bulgular araştırmayı nötron yıldızı manyetosferik fizik ve plazma radyasyon mekanizmalarına ilerletirken, aynı zamanda yerçekimi dalgası tespiti için daha kesin zamanlama referansları sunacaktır.



