Küçük parçacıkların aynı anda bir trilyondan fazla konfigürasyonda etkileşime girebileceği kuantum ölçeğinde maddeye yakınlaştırdığınızı hayal edin.
Bu karmaşık geliyorsa, bu: fizikçiler genellikle bu tür kuantum sistemlerini ve olası durumlarını simüle etmek için süper bilgisayarlara ve hatta yapay zekaya güvenir.
Peki ya bu sorunların çoğu sıradan bir dizüstü bilgisayarda çözülebilirse?
Fizik topluluğu bunun yıllardır mümkün olduğunu biliyordu, ancak gerçeğe dönüştürmek daha karmaşıktı.
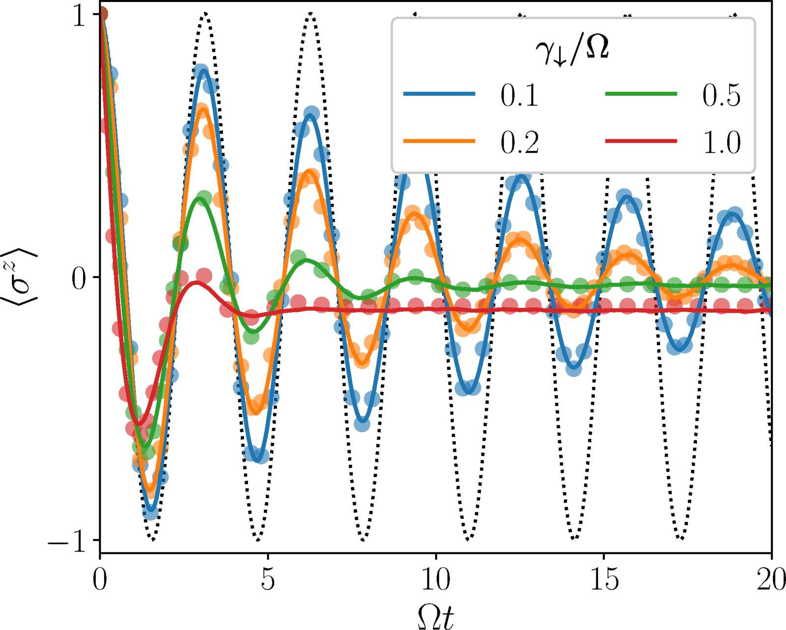
Şimdi, Buffalo’daki üniversitedeki fizikçiler bizi çok daha yaklaştırdı. Kesikatlı Wigner yaklaşımı (TWA) olarak bilinen hesaplama açısından uygun fiyatlı bir yöntemi – kuantum matematiğini daha yönetilebilir hale getiren bir tür fizik kısayolu – büyük bilgi işlem gücü gerektirdiği düşünülen sorunlara genişlettiler.
Aynı derecede önemli olan yaklaşım, Eylül ayında yayınlanan bir çalışmada açıklanan yaklaşım PRX Quantumayrıca fizikçilerin sorunlarını takmasına ve saatlerce kullanılabilir sonuçlar almasına izin veren pratik, kullanıcı dostu bir TWA şablonu sağlar.
“Yaklaşımımız önemli ölçüde daha düşük bir hesaplama maliyeti ve dinamik denklemlerin çok daha basit bir formülasyonu sunmaktadır.” “Bu yöntemin yakın gelecekte, bu tür kuantum dinamiklerini tüketici sınıfı bilgisayarlarda keşfetmek için birincil araç olabileceğini düşünüyoruz.”
Bu sonbaharda UB’ye katılan Marino, Almanya’daki Johannes Gutenberg Üniversitesi Mainz’deyken çalışma üzerinde çalışmalar yaptı. Çalışmanın ortak yazarları arasında iki öğrencisi, Hossein Hosseinabadi ve şu anda Marino’nun UB’deki laboratuvarında doktora sonrası araştırmacı olan Oksana Chelpanova yer alıyor.
Yarı sınıfsal bir yaklaşım benimsemek
Her kuantum sistemi tam olarak çözülemez. Sistem daha karmaşık hale geldikçe, gerekli bilgi işlem gücü katlanarak büyürken, bunu yapmak pratik olmayacaktır.
Bunun yerine, fizikçiler genellikle yarı sınıf fizik olarak bilinen şeye dönüşür-sonuç üzerinde çok az etkisi olan ayrıntıları atarken, doğru kalmak için yeterli kuantum davranışını koruyan orta zemin bir yaklaşım.
TWA, 1970’lere kadar uzanan, ancak enerjinin kazanılmadığı veya kaybolmadığı izole edilmiş, idealize edilmiş kuantum sistemleriyle sınırlı olan o kadar yarı sınıfsal bir yaklaşımtır.
Bu yüzden Marino’nun ekibi, TWA’yı gerçek dünyada bulunan daha karışık sistemlere genişletti, burada parçacıklar sürekli olarak dış kuvvetler tarafından itiliyor ve çekiliyor ve enerjiyi çevrelerine sızdırıyor, aksi takdirde dağıtıcı spin dinamikleri olarak biliniyor.
Marino, “Çok sayıda grup bunu bizden önce yapmaya çalıştı. Bazı karmaşık kuantum sistemlerinin yarı sınıfsal bir yaklaşımla verimli bir şekilde çözülebileceği biliniyor.” “Ancak, asıl zorluk onu erişilebilir ve yapmayı kolaylaştırmaktı.”
Kuantum dinamiklerini kolaylaştırmak
Geçmişte, TWA kullanmak isteyen araştırmacılar bir karmaşıklık duvarıyla karşı karşıya kaldılar. Yöntemi yeni bir kuantum problemine her uyguladıklarında matematiği sıfırdan yeniden yönlendirmek zorunda kaldılar.
Bu nedenle, Marino’nun ekibi, yoğun, neredeyse değişmez matematik sayfaları olanı, kuantum problemini çözülebilir denklemlere çeviren basit bir dönüşüm tablosuna dönüştürdü.
Chelpanova, “Fizikçiler bu yöntemi esasen bir gün içinde öğrenebilirler ve yaklaşık üçüncü güne kadar, çalışmada sunduğumuz en karmaşık problemlerden bazılarını yürütüyorlar.”
Umut, yeni yöntemin gerçekten karmaşık kuantum sistemleri için süper bilgisayar ve AI modelleri kaydedeceğidir. Bunlar yarı sınıfsal bir yaklaşımla çözülemeyen sistemlerdir. Sadece bir trilyon olası devlete değil, aynı zamanda evrende atomlardan daha fazla duruma sahip sistemler.
“Karmaşık görünen şeylerin çoğu aslında karmaşık değil,” diyor Marino. “Fizikçiler, tam teşekküllü bir kuantum yaklaşımına ihtiyaç duyan sistemlerde süper bilgisayar kaynaklarını kullanabilir ve geri kalanını yaklaşımımızla hızlı bir şekilde çözebilir.”



